Neuigkeiten-Archiv 2013
Jahrgangsbestenpreis der Fakultät für Chemie und Chemische Biologie
Im Rahmen der Akademischen Jahresfeier der TU Dortmund am 16. Dezember 2013 wurden die besten Absolventen der sechzehn Fakultäten der TU geehrt. Wir gratulieren Frau Ulrike Kroesen zu dem diesjährigen Jahrgangsbestenpreis der Fakultät für Chemie und Chemische Biologie.
Ulrike Kroesen hat ihr Studium einschließlich ihrer Masterarbeit mit dem Titel „Verständnis natriumspezifischer Effekte zum Steuern ausgewählter metallorganischer Reaktionen“ in nur 9 Semestern abgeschlossen. Im Rahmen ihrer Forschung beschäftigt sie sich mit der Handhabung und Untersuchung hochreaktiver metallorganischer Reagenzien, sowie der quantenchemischen Beschreibung ablaufender Reaktionen.
Catalytic and Stereoselective ortho-Lithiation of a Ferrocene Derivative:
P. Steffen, C. Unkelbach, M. Christmann, W. Hiller, C. Strohmann,
Angew. Chem. Int. Ed. 2013, 52, 9836
Understanding Structure Formation in Organolithium Compounds: An Experimental and Quantum-Chemical Approach:
K. Götz, V.H. Gessner, C. Unkelbach, M. Kaupp, C. Strohmann,
Z. Allg. Anorg. Chem. 2013, 639, 2077
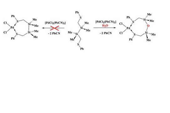
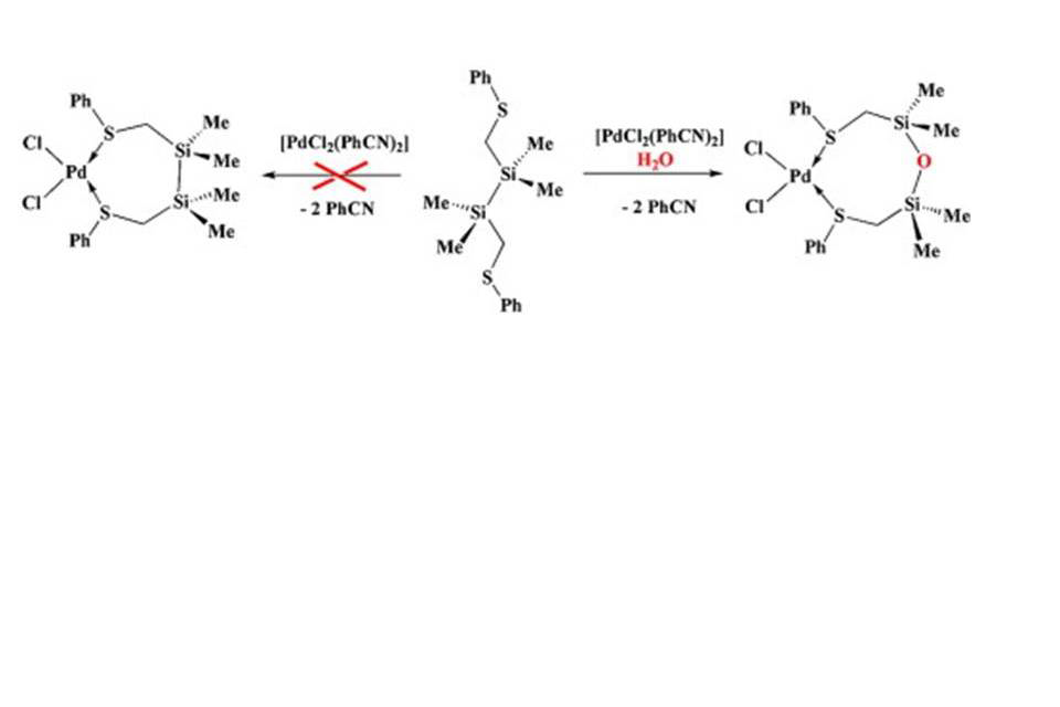
Reinvestigation of the Pd-Catalysed Bis(silylation) of Alkynes with 1,1,2,2-Tetramethyl-1,2-bis(phenylthiomethyl)disilane: Unexpected Formation of the Eight-Membered Siloxane-Chelate complex cis-[PdCl2{(PhSCH2SiMe2)2O}]:
H. W. Peindy N`dongo, S. Clément, S. Richeter, F. Guyon, M. Knorr, P. le Gendre, J. O. Bauer, C. Strohmann,
J. Organomet. Chem. 2013, 724, 262
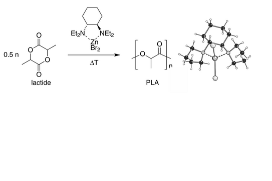
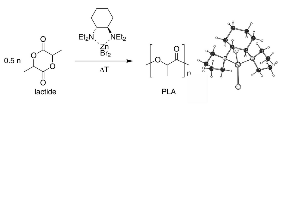
Simple is best: diamine zinc complexes as unexpected catalysts in lactide polymerisation:
P.K. Eckert, I. dos Santos Vieira, V.H. Gessner, J. Börner, C. Strohmann, S. Herres-Pawlis,
Polyhedron 2013, 49, 151











